邓澍日记 对话
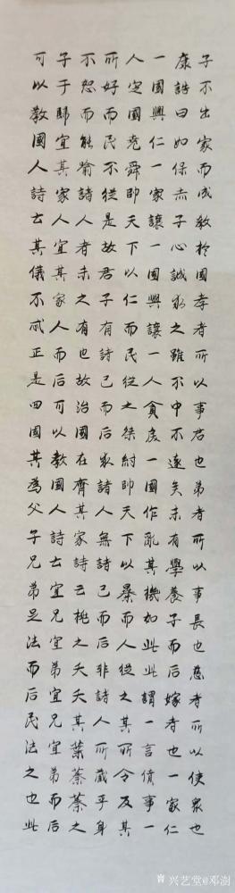
行楷书法作品(大学)八条屏。
《大学》是儒家经典中的重要篇章,和中庸、论语、孟子并称为四书。古代精典,至今仍具有其重要的实用价值!治国、齐家、做事、做人都有精辟论述。
庚子年夏月,后学邓澍录《大学》八条屏于北京书画艺术馆,与友们共勉!
附(大学)八条屏文字内容:
大学之道,在明明德,在亲民,在止于至善。知止而后有定,定而后能静,静而后能安,安而后能虑,虑而后能得。物有本末,事有终始。知所先后,则近道矣。
古之欲明明德于天下者,先治其国。欲治其国者,先齐其家。欲齐其家者,先修其身。欲修其身者,先正其心。欲正其心者,先诚其意。欲诚其意者,先致其知。致知在格物。物格而后知至,知至而后意诚,意诚而后心正,心正而后身修,身修而后家齐,家齐而后国治,国治而后天下平。
自天子以至于庶人,一是皆以修身为本。其本乱而末治者否矣。其所厚者薄,而其所薄者厚,未之有也。此谓知本,此谓知之至也。
所谓诚其意者,毋自欺也。如恶恶臭,如好好色,此之谓自谦。故君子必慎其独也。小人闲居为不善,无所不至,见君子而后厌然,掩其不善而著其善。 人之视己,如见其肺肝然,则何益矣。此谓诚于中,形于外,故君子必慎其独也。 曾子曰:“十目所视,十手所指,其严乎!”富润屋,德润身,心广体胖,故君子必诚其意。
《诗》云:“瞻彼淇澳,菉竹猗猗。有斐君子,如切如磋,如琢如磨。 瑟兮僴兮,赫兮喧兮。有斐君子,终不可喧兮。”“如切如磋”者,道学也。 “如琢如磨”者,自修也。“瑟兮僴兮”者,恂傈也。“赫兮喧兮”者,威仪也。“有斐君子,终不可喧兮”者,道盛德至善,民之不能忘也。《诗》云:“於戏,前王不忘!”君子贤其贤而亲其亲,小人乐其乐而利其利,此以没世不忘也。《康诰》曰:“克明德。”《大甲》曰:“顾諟天之明命。”《帝典》曰: “克明峻德。”皆自明也。汤之《盘铭》曰:“茍日新,日日新,又日新。”《康诰》曰:“作新民。” 《诗》曰:“周虽旧邦,其命维新。”是故君子无所不用其极。《诗》云:“邦畿千里,维民所止。”《诗》云:“缗蛮黄鸟,止于丘隅。” 子曰:“于止,知其所止,可以人而不如鸟乎?”《诗》云:“穆穆文王,於缉熙敬止!”为人君,止于仁;为人臣止于敬;为人子,止于孝;为人父,止于慈; 与国人交,止于信。子曰:“听讼,吾犹人也。必也使无讼乎!”无情者不得尽其辞,大畏民志。此谓知本”。
所谓修身在正其心者,身有所忿懥,则不得其正,有所恐惧,则不得其正, 有所好乐,则不得其正,有所忧患,则不得其正。心不在焉,视而不见,听而不闻,食而不知其味。此谓修身在正其心。
所谓齐其家在修其身者,人之其所亲爱而辟焉,之其所贱恶而辟焉,之其所畏敬而辟焉,之其所哀矜而辟焉,之其所敖惰而辟焉。故好而知其恶,恶而知其美者,天下鲜矣。故谚有之曰:“人莫知其子之恶,莫知其苗之硕。”此谓身不修,不可以齐其家。
所谓治国必先齐其家者,其家不可教而能教人者,无之。故君子不出家而成教于国。孝者,所以事君也;弟者,所以事长也;慈者,所以使众也。《康诰》 曰:“如保赤子。”心诚求之,虽不中,不远矣。未有学养子而后嫁者也。一家仁,一国兴仁;一家让,一国兴让;一人贪戾,一国作乱,其机如此。此谓一言偾事, 一人定国。尧、舜率天下以仁,而民从之。桀、纣率天下以暴,而民从之。其所令反其所好,而民不从。是故君子有诸己而后求诸人,无诸己而后非诸人。所藏乎身不恕,而能喻诸人者,未之有也。故治国在齐其家。《诗》云:“桃之夭夭, 其叶蓁蓁。之子于归,宜其家人。”宜其家人,而后可以教国人。《诗》云:“ 宜兄宜弟。”宜兄宜弟,而后可以教国人。《诗》云:“其仪不忒,正是四国。” 其为父子兄弟足法,而后民法之也。此谓治国在齐其家。
所谓平天下在治其国者,上老老而民兴孝,上长长而民兴弟,上恤孤而民不倍,是以君子有絜矩之道也。所恶于上,毋以使下,所恶于下,毋以事上;所恶于前,毋以先后;所恶于后,毋以从前;所恶于右,毋以交于左;所恶于左,毋以交于右;此之谓絜矩之道。《诗》云:“乐只君子,民之父母。”民之所好好之,民之所恶恶之,此之谓民之父母。《诗》云:“节彼南山,维石岩岩。赫赫师尹,民具尔瞻。”有国者不可以不慎,辟,则为天下僇矣。《诗》云:“殷之未丧师,克配上帝。仪监于殷,峻命不易。”道得众则得国,失众则失国。
是故君子先慎乎德。有德此有人,有人此有土,有土此有财,有财此有用。德者本也,财者末也。外本内末,争民施夺。是故财聚则民散,财散则民聚。是故言悖而出者,亦悖而入;货悖而入者,亦悖而出。《康诰》曰:“惟命不于常。”道善则得之,不善则失之矣。《楚书》曰:“楚国无以为宝,惟善以为宝。”舅犯曰:“亡人无以为宝,仁亲以为宝。”
《秦誓》曰:“若有一介臣,断断兮无他技,其心休休焉,其如有容焉。人之有技,若己有之;人之彦圣,其心好之,不啻若自其口出。实能容之,以能保我子孙黎民,尚亦有利哉!人之有技,媢疾以恶之;人之彦圣,而违之俾不通:实不能容,以不能保我子孙黎民,亦曰殆哉!”唯仁人放流之,迸诸四夷,不与同中国。此谓唯仁人为能爱人,能恶人。见贤而不能举,举而不能先,命也;见不善而不能退,退而不能远,过也。好人之所恶,恶人之所好,是谓拂人之性,菑必逮夫身。是故君子有大道,必忠信以得之,骄泰以失之。
生财有大道,生之者众,食之者寡,为之者疾,用之者舒,则财恒足矣。仁者以财发身,不仁者以身发财。未有上好仁而下不好义者也,未有好义其事不终者也,未有府库财非其财者也。孟献子曰:“畜马乘,不察于鸡豚;伐冰之家,不畜牛羊;百乘之家,不畜聚敛之臣。与其有聚敛之臣,宁有盗臣。”此谓国不以利为利,以义为利也。长国家而务财用者,必自小人矣。彼为善之,小人之使为国家, 灾害并至。虽有善者,亦无如之何矣!此谓国不以利为利,以义为利也。




